
Clinical Trials and Computational Biology
Sharing my experience as a clinical trial statistician at ECOG-ACRIN and computational biologist at Cristea lab, Dana-Farber Cancer institute
Highlighted Clinical Trials
My clinical trial experience in gastrointestinal cancers
RMC-6236-001:
KRAS-Targeted Therapy in PDAC
Phase I/II trial of RAS(ON) Inhibitor (Daraxonrasib) for patients with advanced solid tumors
Paricalcitol + Chemotherapy in
metastatic PDAC
Randomized Phase I/II trial of Vitamin D Receptor Agonist (Paricalcitol) combined with chemotherapy in metastatic PDAC




EA2142: CAPTEM vs Platinum in
Neuroendocrine Carcinoma
Randomized Phase II trial of capecitabine and temozolomide versus standard of care for patients with non-small cell neuroendocrine carcinoma
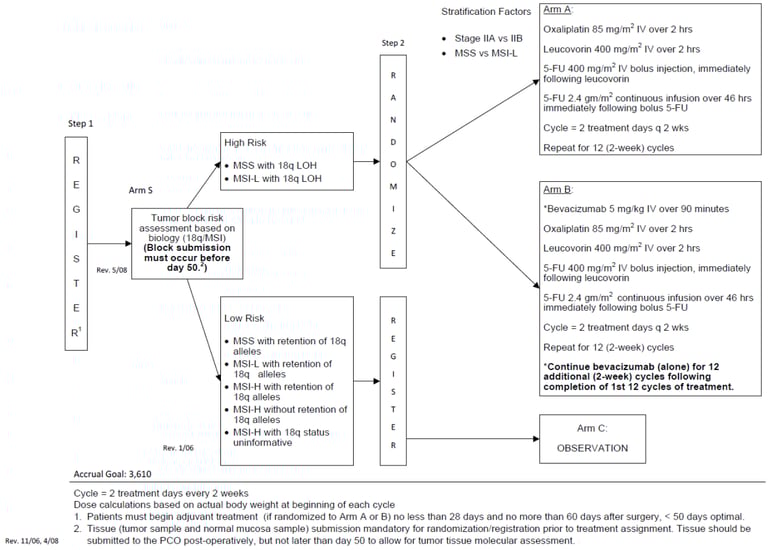
E5202: FOLFOX + Bevacizumab in
Resected Stage II Colon Cancer
Randomized Phase III trial of anti-VEGF with chemotherapy for low-risk colon cancer patients
Experience
I am a computational biologist in Dr. Simona Cristea's lab at Dana-Farber Cancer Institute. I analyze spatial transcriptomic data from pancreatic cancer trials, working across platforms including CosMx, Visium, and Digital Spatial Profiler. At the same time, I work as a clinical trial statistician at Dana-Farber, where I design and analyze eleven gastrointestinal cancer clinical trials through ECOG-ACRIN. This dual background drives my research goal of developing statistical frameworks that integrate multi-modal data for precision oncology.
Education
Biostatistician / Computational Biologist
Dana-Farber Cancer Institute
2021 - Present
Master of Science in Biostatistics
Harvard T.H. Chan School of Public Health
Bachelor of Science in Policy Analysis and Management
Cornell University
Get in Touch
Questions or collaborations? Reach out anytime—I’m happy to connect.
Phone
607-422-0825
hongdavid852@gmail.com
contact@davidhong.io